سیستم مختصات UTM چیست؟
جهت درک بهتر سیستم مختصات UTM اگر نقشه در مقياس جهاني باشد، در آن صورت ممكن است با انتخاب نامناسب پروژكشن اطلاعات بدست آمده دقيق نباشند و يا اطلاعات ناقص بدست آيند. ولي اگر در مقياس كوچك مثلا در يك شهر كوچك باشد، در آن صورت از دست دادن بعضي اطلاعات ميتواند قابل صرف نظر كردن باشد.
یو تی ام UTM یعنی چه؟
واژه یو تی ام UTM که در ایران به نقشه UTM یو تی ام معروف است در واقع مخفف سه كلمه UNIVERSAL TRANSVERSE MERCATOR است كه ترجمه فارسي آن، تصوير مركاتور جانبي جهاني است. به طوري كه از اسم اين تصوير ميتوان استنباط نمود، اين تصوير از نوع استوانه اي جانبي است. در واقع، تصوير مركاتور جانبي است كه اصطلاح در آن انجام گرفته است.
هر تصوير، بر پايه ماهيت و ويژگيهاي آن فقط براي مناطق خاصي از كره زمين مناسب است. به همين جهت،هر كشور بر مبناي موقعيت جغرافيائي، شكل و اندازه سرزمين خود، تصوير يا تصاوير را انتخاب مينمايد. بديهي است، يك سيستم تصوير به تنهايي نميتواند براي نمايش كليه كشورها و كل زمين مناسب باشد. به همين دليل،ما با تنوع سيستم تصويرها روبرو هستيم و مي بينيم كه هر كشوري تصويري را انتخاب مي نمايد كه از جهات گوناگون، متفاوت با كشورهاي ديگر است.
تاریخچه سیستم مختصات یو تی ام UTM
در طول جنگ جهاني دوم،نياز به يك سيستم مختصات مستوي جهاني براي مقاصد نظامي بيش از بيش محسوس گرديد. سیستم مختصات یو تی ام یا U.T.M در دهه 1950 ميلادي به وسيله سازمان پيمان آتلانتيك شمالي يا ناتو معرفي شد. امروزه بيش از 60 كشور دنيا از اين تصوير بهره گيري مي كنند .
سیستم جهانی مرکاتور معکوس یا به اختصار سیستم مختصات UTM یکی از سیستم های تصویر استوانه ای مرکاتور با حالت معکوس است. سامانه ی مختصاتی جهانی مرکاتور مرجع در دهه ی 1940 میلادی و توسط ارتش ایالات متحده ی آمریکا بر پایه ی بیضوی مرجع )ژئوسنتریک) شکل گرفت و اولین بیضوی مورد استفاده برای این سیستم بیضوی کلارک 1866 و برای هاوایی بر روی بیضوی بین المللی بنا نهاده شد.
امروزه ازبیضوی ژئوسنتریک سامانه ژئودتیک جهانی 1984 معروف به WGS84 برای مدل سازی زمین در سامانه یوتی ام می شود، این بدین معنی است که مختصات نقاط ممکن است تا بیش از ۲00 متر با مختصات پیشین (بر اساس بیضوی کلارک)متفاوت باشد.
50 کشور از كشور علاوه بر سیستم تصویر UTM از تصوير دومي هم براي نمايش سرزمين خود استفاده مي نمايند. اتحاد جماهير شوروي، چين و ساير كشورهاي بلوك شرق تصوير مركاتور جانبي را پذيرفته اند. از اين جهت سیستم تصویر یو تی ام UTM با وجودي كه براي كل جهان مناسب است و از آن براي تهيه نقشه يك ميليونيم جهان بهره گيري شده است، هنوز جنبه جهاني به خود نگرفته است و تا روزي كه همه كشورها آن را به عنوان سيستم تصوير ملي خود بپذيرند فاصله زيادي مانده است .
شايان ذكر است كه ايران هم سیستم تصوير UTM را به عنوان تصوير ملي پذيرفته است و تمامي نقشه هاي تهيه شده در ايران در سيستم تصویر UTM یو تی ام است. به استثناي تعدادي از نقشه ها كه توسط وزارت نفت در تصوير لامبرت تهيه شده است.
سیستم تصوير UTM چه مشخصاتی دارد؟

در سيستم تصویر UTM، كره زمين به 60 نوار عمودي يا قاچ (Zone) كه هر كدام شامل 6 درجه طول جغرافيايي است ،تقسيم ميشود. محدوده شمالي اين سيستم عرض جغرافيايي 80 درجه شمالي است و محدوده جنوبي آن عرض جغرافيايي 80 درجه جنوبي است. براي نمايش عرض هاي بالاتر از 80 درجه شمالي و جنوبي يا مناطق منجمد شمالي و جنوبي، از تصوير ديگري به نام سيستم تصوير استرئوگرافي قطبي جهاني 16(UPS) استفاده مي شود.
هر كدام از نوار 60 گانه با يك رقم مشخص ميشود. نوار محصور بين طول جغرافيايي 180 درجه و 174 درجه غربي، عدد يكرا به خود اختصاص ميدهد و اعداد به طرف شرق افزايش مييابند .مثلا نوارهاي مربوط به ايران نوارهاي 38 ،39 ، 40 ، 41 است. هر قاچ يا نوار داراي يك خط مركزي به نام نصف النهار مركزي است كه در نتيجه 60 نصف النهار مركزي خواهيم داشت. درواقع، از نظر تئوري هر بار كره زمين در راستاي يكي از اين نصف النهارات با استوانه مماس ميشود، يعني استوانه جانبي به طور فرضي 60 بار دور كره ميچرخد و هر بار يك قاچ يا نوار را ايجاد مي نمايد .
چگونه از سیستم تصویر UTM (مختصات UTM ) استفاده کنیم؟
راهنمای استفاده از سیستم مختصات یو تی ام UTM
فرض کنید در یک منطقه در حال حرکت هستید که به یک معبر می رسید . ( محل شما بر روي نقشه با ستاره مشخص شده است ) دستگاه مکان یابی GPS شما مختصات شما را در این نقطه به صورت زیر نمایش می دهد.
10 S 0559741
4282182

10S مشخص کننده ناحیه اي است که شما در آن قرار دارید . این تقسیم بندي باید به گونه اي خاص و یکتا باشد تا بتوان تمام نقاط کره زمین را با آن تقسیم بندي کرد. شماره نمایش داده شده در بالا 0559741 ، مشخص کننده مختصات شرقی ، غربی شما بر حسب متر در این ناحیه خاص می باشد که با نام شرقی خوانده می شود. شماره نمایش داده شده در پایین 4282182 یک مقدار بر حسب متر می باشد که نمایش دهنده مختصات شمالی جنوبی شما می باشد و در این حالت و این ناحیه ” شمالی ” نامیده می شود.
نقشه فوق داراي نصف النهارهاي متقاطع جهانی یو تی ام UTM = Universal Transverse Mercator می باشد.
این نصف النهار ها به صورت خطوط راهنمایی در نقشه نمایش داده شده اند که فاصله بین هر دو خط 1 کیلومتر یا 1000 متر می باشد . خطوط شبکه اي عمودي موقعیت شرقی – غربی را نمایش می دهد و خطوط افقی ، موقعیت شمالی – جنوبی را نمایش می دهد . به قسمت پایینی نقشه نگاه کنید . در محل خطوط شبکه اي عمودي Label زیر را مشاهده می کنید.
559 and 560000 mE
این همان عددي است که در پایین نقشه در محل خط هاي عمودي نوشته شده است. این Label به مفهوم 560000 متر به سمت شرق می باشد . سایر Label ها نیز به همین صورت میباشند. به عنوان مثال Label 559 به مفهوم 559000 متر شرقی می باشد . همانطور که قبلاٌ گفتیم فاصله بین هر دو خط شبکه 1000 متر است. در مورد خطوط افقی نیز همین وضع
حاکم است . اگر با سیستم متریک مشکل دارید می توانید از جدول زیر براي تبدیل متر به سایر واحدها استفاده کنید.

خلاصه کردن مختصاتهاي UTM
بیشتر فعالیتهاي ماجراجویانه شما ، در مساحت کمی بر روي کره زمین انجام می گیرد . به عنوان مثال ، ماجراجویی شما در حالت عادي و یک برنامه سبک مسافتی کمتر از 20 مایل در یک منطقه می باشد .( اگر بیشتر از این راهپیمایی کردید خیلی باحالید خداییش ) با این وضعیت و توضیح گفته شده می توانیم سیستم UTM را کمی خلاصه تر کنیم .
یک سیستم GPS ، عدد زیر را براي شما نمایش می دهد .
10 S 0559741
4282182
با توجه به توضیحات، مختصات فوق به صورت زیر در یک نقشه توپوگرافیک تعریف می شود .
Zone 10 S
559741 mE
4282182 mN
نمونه خلاصه کردن این سیستم می تواند به صورت زیر باشد:
59 82
مشخص کننده یک فاصله 1000 متر به 1000 متر
597 821
نمایش دهنده یک مسافت 100 متر به 100 متر
5974 8218
نمایش دهنده یک مسافت 10 متر به 10 متر
59741 82182
نمایش دهنده یک مسافت 1 متر به 1 متر
فرمتی که توسط آن بتوان فاصله ها را هر 100 متر یک بار نشان داد 597128 و فرمتی که توسط آن بتوان فاصله ها را هر 10 متر یک بار نشان داد ( 4795 ) ، بیشتر استفاده می شوند. توجه داشته باشید که اول موقعیت شرقی نمایش داده می شود و در ادامه موقعیت شمالی.
اگر شما قصد دارید که به مختصات دقیق تري بر روي نقشه تان دست یابید باید از یکسري ابزارهاي خاص استفاده کنید که تقسیم بندي دقیق تري دارند . یکی از این ابزارها می تواند شکل زیر باشد که به صورت دقیقی تقسیم بندي شده است.

همانطور که مشاهده می کنید این ابزار براي یک نقشه 1:24000 می باشد . به یاد داشته باشید که براي مشخص کردن موقعیت دقیق ، باید لبه هاي این ابزار بر روي لبه هاي دو خط شبکه که فاصله آنها یک کیلومتر است منطبق باشند ( مطابق شکل زیر)

همانطور که مشاهده می کنید شما می توانید با این انطباق ، نقشه خود را با دقت حدود 100 متر مشخص و کاملاٌلا کالیبره کنید . ( این موضوع را می توانید با اطلاعات دستگاه GPS خود مطابقت داده و مسیرهاي کوهپیمایی و کوهنوردي را از روي این نقشه هاي توپوگرافی در بیاورید)
به عنوان مثال در نقشه بالا می خواهیم مختصات دقیق محلی که با ستاره مشخص شده است را بدست آوریم . همانطور که بر روي نقشه مشاهده می کنید مختصات حدودي 590000 متر شرقی و 82000 شمالی را از روي خود نقشه داریم . با توجه به انطباق می توانیم دقت 100 متر را نیز به این مقادیر اضافه کنیم . به این صورت که 597821 مختصات ما خواهد شد.
سیستم تصویر UTM و سیستم تصویر LOCAL UTM
سيستم تصوير UTM
سيستم تصويرهاي، نقشه هاي زمين شناسي و يا كشوري در ايران كه توسط انگليسي ها تهيه شـده اسـت همگي در سيستم تصوير لامبرت مخروطي متشابه دو محوره هستند. ويژگي اين سيستم تصوير آنست كه مـيتواند منطقه وسيعي بين دو مدار جغرافيائي و طرفين اين دو مدار را پوشش دهد اما بيش از آن دچار اعوجاج مي شود.
البته بديهي است دو مدار نبايد زياد از هم فاصله داشته باشند(نهايتًاً 6 درجه) بنـابراين نقـشه هـاي حاصله از اين سيستم تصوير، بيشتر مناسب ارزيابي هاي كيفي هستند تا كمي(مانند نقشه هاي زمين شناسـي).
بعدها آمريكائي ها سيستم تصوير UTM را بكار گرفتند كه اثر اعوجاج در آن به مراتب كمتر از سيـستم تـصويرلامبرت بود و قابليت تهيه نقشه هاي اجرائي و عملياتي داشت.

سيستم تصوير UTM ، سيستم مختصات جغرافيائي روي بيـضوي WGS84 را بـه يـك سيـستم مختـصات كارتزين(Grid) روي جدارهء استوانه ترانسفر مركاتور تبديل مي كند. مقطعِ بيضويWGS84 ، دايره اي اسـت كه به 60 زون 6 درجه تقسيم شده و هر زون يك سيستم مختصاتGrid مستقلي براي خود دارد. مركـز ايـن Grid ها نقطه اي با مختصات 0(,0) نيست بلكه براي بالاي استوا داراي مختصات(5000000) بـراي پـائين استوا (10000000و 500000) است.
مهمترين ويژگي سيستم تصوير UTM ، متشابه بودن آن است. البته اين تشابه بـصورت ديفرانـسيلي وجـوددارد و به معناي آن نيست كه دقيقًاً زاويه دو امتداد روي بيضوي دقيقا برابر با زاويـه همـان دو امتـداد روي نقشه اي با سيستم تصوير UTM است. چرا كه مجموع زواياي يك مثلث كروي بيش از 180 درجه اسـت امـا هنگامي كه روي كاغذ (استوانه UTM ) تصوير شود مجموع زوايا برابر180 درجه مي شود.
سيستم تصوير یو تی ام كمترين اعوجاج را نسبت به ساير سيستم هاي تصوير داراست. اين اعوجاج از آنجـا كمينه است كه استوانه UTM بر بيضوي مماس نيست بلكه آن را در يك امتداد منحني الخط قطع كرده و ازيك امتداد منحني الخط ديگر(متقارن نسبت به نصف النهار مركزي زون) خارج مي شود (مانند چـاقوئي كـهزير پوست يك پرتقال برود و چند سانتيمتر آنطرف تر خارج شود).
بديهي است در اين دو امتداد، طـول روي بيضوي، با طول روي استوانه، يكسان است (K=1) بدين ترتيب يك زون 6 درجه، به سه قـسمت تبـديل مـيشود، كه شامل يك قسمت مياني به عـرض حدودا 440KM روي اسـتوا و دو تـا “طـرفين بيرونـي” است.

در قسمت مياني طول روي بيضوي بزرگتر از طول روي استوانه UTM اسـت و بلعكـس، در طـرفين بيروني، طول روي بيضوي، كمتر از طول روي استوانه UTM است.

بنابراين براي تبديل طول روي UTM به طول روي بيضوي، از يك ضريب مقياس استفاده مي نمـائيم. اين ضريب مقياس در امتداد دو منحني الخط، برابر با يك مي باشد (K=1) ، در قسمت مياني كمتر از يك و طرفين بيروني بزرگتر از يك مي باشد. همچنين ضريب مقياس در امتداد نصف النهار مركزي نيز برابـربا 9996/0 مي باشد. بدين ترتيب بر اساس شكل فوق بايد گفت ضريب مقياسبيشتر متأثر از مقدارX است تا مقدار Y
لذا با تقريب خوبي خواهيم داشت:

كه در آن 0.9996= oK و شعاع استوا R=6367000 m مي باشد.
كشور ايران در 4 زونUTM قرار دارد كه نصف النهار مركزي هرZone مطابق با جدول ذيل است:
![]()
و بطور كلي نيز از رابطهء ذيل بدست مي آيد:
Middle Meredian= 6*(Zone-30)-3
اساساً بايد توجه داشت كه روي سطح زمين طول افقيAB ≠ طول افقيBA چون افق هـاي ايـن دو يكسان نيست.
اما همواره داريم: “طول مايلAB = طول مايلBA ”
همچنين بايد توجه داشت كه طول افقي اندازه گيري شده روي سطح طبيعي زمين بـا طـول متنـاظر روي بيضوي برابر نيست و هر چه ارتفاع متوسط منطقه از سطح مبناي مسطحاتي(بيضوي) بيشتر باشد اين اعوجـاج بيشتر است. توجه داشته باشيد كه راستاي شاقولي همواره عمود بر سطح ژئوئيد است (نـه سـطح زمـين و نـه سطح بيضوي).

مختصات LOCAL UTM چیست؟
همان گونه كه در بالا اشاره شد، يك نقطه در سيستم تصوير UTM داراي 3+1 مؤلفه است. بدين معنا كه E,N,HEllipsoid يك نقطه را به همراه Scale Factor تحويل مي دهيم.
لذا كاربر عملياتي موظف است روي هر ايستگاه كه مستقر مي شود Scale Factor آن ايستگاه را به همراه HEllipsoid آن ايستگاه به دوربين توتال استيشن خود معرفي نمايد سپس اقدام به توجيه دوربين و عمليات برداشت كند كه خود اين امر ممكن است بشكل صحيحي توسط اپراتور لحاظ نشود و يا اپراتور روي برخي ايستگاه ها فراموش كند كه اين دو پارامتر را به دوربين معرفي نمايد و در نتیجه برداشت دچار خطا شود.
لذا اين دو پارامتر Scale Factor و Hellipsoidرا به كمك يك برنامهء كامپيوتري در مختصات گريد UTM نقاط تزريق كرده و مختصات Local-UTM توليد مي نمائيم:
تعاريف اوليه
از آنجا كه مبناي مسطحاتي هر دوي اين اندازه گيريها سطح بيضوي WGS84 اسـت پـس بايـد مختـصات Grid-UTM بنحوي تغيير يابد كه هر دوي اين طولها كه قاعدتاً در سطح مبناي مـسطحاتي خودشـان (بيـضوي WGS84) يكي هستند، پس از فرونشت روي سطوح ديگر نيز يكسان شوند (يعنـي : طـول افقـي روي سـطح طبيعي زمين با طول افقي روي جدارهء بازشده استوانه UTM يكسان باشد ) بـه چنـين مختـصاتي Local-UTM می گوییم.
تبديل مختصات Grid-UTM به LOCAL-UTM
در صورتيكه اختلاف ارتفاع سطح طبيعي زمين با سطح استوانه UTM بسيار زياد باشد(مثلاً 2000m)، خطاي توليد مختصاتLocal-UTM افزايش مي يابد. بايد توجه داشـت در صـورت بـستن پيمـايش و توليـد مختصات Grid-UTM به كمك دوربين توتال استيشن مي بايست قبل از شروع كار، ارتفـاع متوسـط منطقـه ازبيضوي مرجع (WGS84) را به دوربين معرفي نمائيم كه معمولاً در تنظيمات دوربين هاي توتال استيشن تحـت عنوان “ارتفاع متوسط منطقه از سطح دريا” (Mean-Elevation of MSL) از كاربر درخواسـت مـي شـود.
ايـن تصحيحات آنلاين “تبديل طول افق به روي بيضوي مرجع” در مناطقي مانند ايذه كـه مـثلاً 1500m از سـطح بيضوي WGS84 ارتفاع دارند ، يا شهر كُرد كه بام ايران است، بسيار چـشمگير اسـت و در مختـصات نهـائي توليدي توسط دوربين بشكل بارزي خود را نشان مي دهد(بعضاً 15 Cm)
بديهي است درصورت كار با دوربين توتال استيشن بصورت Local-UTM ديگر نيازي بـه تنظـيم “ارتفـاع متوسط منطقه از سطح دريا” نيست چون در الگوريتم برنامه نويسي ايـن نكتـه لحـاظ شـده و در مختـصات محاسباتي Local-UTM ،ارتفاع از بيضوي نقاط ديده شده است. هر چند وقتي اين ارتفاع متوسط خيلـي زيـاد باشد مختصات Local-UTM با مقداري خطا حاصل مي شود.
-از آنجا كه “طول افقي AB ≠ طول افقي BA” لذا مختصات Local-UTM نيز در مکان هایی خوب جواب مي دهد كه بيشينه اختلاف ارتفاع در منطقه زياد نباشد. بدين ترتيب مختصات Local-UTM در مناطق دشت و مسطح كارآمدتر است.
-از سوي ديگر محاسبات “تبديل طول افق” به “طول روي بيضوي” با اين فرض غلط صورت مي گيرد كه “راستاي قائم بر بيضوي” منطبق بر “راستاي قائم بر ژئوئيد” است در حالي كه هر چه N “ارتفاع ژئوئيد”، افزايش يابد، تنافر قائم ها نيز افزايش مي يابد.
از آنجا كه راستاي شاقولي دوربين توتال استيشن “قائم بر سطح ژئوئيد” است اما محاسبات تبديل به افق روي “سطح بيضوي” صورت مي گيرد، خطاي محاسبات افزايش مي يابد. ماكزيمم ميزان N در سطح كرهء زمين، مربوط به جنوب هندوستان با N=100 m است. در منطقهء چابهار ايران نيز اين اختلاف حدود N=30m است.
تغييرات مكان هندسي موقعيت نقاط از Grid-UTM به Local UTM
براي توليد مختصات Local UTM نياز به يك نقطه Fix داريم. لذا بسته به موقعيت اين نقطه Fix، مختصات Local توليد شده، نيز متفاوت خواهد بود. اما از آنجا كه هدف ما اينست كه مختصات Local-UTM كمترين اعوجاج را با مختصات Grid-UTM داشته باشد، بهتر است اين نقطه Fix وسط منطقه عملياتي در نظر گرفته شود. ويژگي نقطهء Fix آنست كه مختصات Grid و Local آن با يكديگر برابر فرض مي شود.
بدين ترتيب پس از توليد مختصات Local UTM طول كليه نقاط نـسبت بـه ايـن نقطـه Fix، بـصورت شعاعي، با طول زميني برابر خواهد بود. در صورتيكه منطقه عملياتي در “قسمت ميـاني” زون باشـد(نقاط قرمز ) مختصاتهای Local در امتداد هاي شعاعي از نقطه Fix فاصله مي گيرند (نقاط X ) و هر چه خـود نقاط UTM (نقاط قرمز) از نقطهء Fix دورتر باشند، فاصلهء بين نقاط قرمز و X افزايش بيشتري دارد.

در قسمت مياني زون، نقاط قرمز (UTM) ونظيرشان نقاط Local UTM) X ) هستند. هر چه از نقطه Fix دورتر شويم فاصلهء بين نقاط قرمز و X (نظير) بيشتر مي شود. بلعكس، در صورتيكه منطقهء عملياتي در “طرفين بيروني” زون باشد. مختصاتهاي Local در امتدادهاي شعاعي به نقطهءFix نزديك مي شوند (نقاط X ) و هر چه خود نقـاط UTM (نقـاط قرمـز) از نقطـهءFix دورتر باشند، فاصلهء بين نقاط قرمز و X افزايش بيشتري دارد.

در طرفين بيروني زون، نقاط قرمز (UTM) و نظيرشان نقاط Local UTM) X ) هستند. هر چه از نقطهءFix دورتر شويم فاصلهء بين نقاط قرمز و X (نظير) بيشتر مي شود.
حال اين سؤال مطرح مي شود كه:
با توجه به اينكه در سيستم تصوير Local UTM طولها بصورت شعاعي نسبت به نقطه Fix، بـا طـول زمينـ يبرابر مي شوند. تكليف ساير طولهاي روي نقشه چه مي شود؟ آيا آنها نيز با مقادير متناظر روي زمين، برابـريدارند؟ مثًلاً طول بين خود نقاط برداشتي با مقادير متناظر روي زمين برابر مي شود يا خير؟
پاسخ: ازآنجا كه سيستم تصوير UTM، يك سيستم تصوير متشابه است كليـهء مثلثهـاي حاصـله بـر اسـاس قاعدهء تساوي مثلثـي برابـر بـوده، لـذا طـول بـين خـود نقـاط نيـز بـا طـول زمينـي متنـاظر برابراست.

فاصله بين نقاط Local X نيز با مقدار زميني برابر است.
Local-UTM چه كاربردی دارد؟
كاربرد اصلي Local-UTM در توجيه دوربين توتال استيـشن اسـت كـه در طولهـاي بـالاي 2.5 Km و بـا اختلاف ارتفاع50m توسط مختصات Grid-UTM توجيه نمـي شـود. چـون در اينجـا طـول زمينـي بـا طـول زمین يكسان نيست و دوربين توتال استيشنError مي دهد. بدين ترتيب بايد براي بتن هاي مرجع (بنچ مارک) ، به كاربر عملياتي مختصات Local UTM داده شود تا دوربين توتال استيشن، در همه مراحل با موفقيـت توجيه شود.
بديهي است پس از پايان عمليات (و مثلاً برداشت 20000 نقطه) مي توان به كمـك برنامـه نویسی(LocalàUTM) اکسل، اين 20000 نقطه را مجدداً تبـديل بـه مختـصات اصـلي Grid-UTM نمود.
در بسياري اوقات نياز داريم، نقشه هائي توليد كنيم كه هم زوايا با واقعيت زميني برابر باشند و هم طولها بر اساس مختصات درج شده روي نقشه با واقعيت زميني همسان باشد. مثلاً در يك پروژهء “خط لولهء بين شهري”، بايد براي طراحي ها، طول لوله ها با طول اندازه گيري شده روي نقشه برابر باشد و لازم نباشد كاربران مرتباً ضريب مقياس حساب كنند تا طول زميني بدست آيد و احياناً اين وسط اشتباه كنند.
بدين ترتيب نياز به نقشه هائي داريم كه با حفظ حدود مختصاتUTM نيازي به ضريب مقياس نداشته باشند. در اين نقشه هاي كاربردي بايد با طول زميني برابر باشد. در نقشه هاي اجرائي نياز به مختصات Local-UTM است تا پيمانكار با اطمينان خاطر، محتويات نقشه را پياده سازي كند و مثلا اگر قصددارد لوله گذاري كند لوله، دست آخر، نيم متر، كم نيايد و پروژه را دچار چالش نكند.
لذا هم مي توان يك نقشه با سيستم تصويرUTM براي همپوشاني با نقشه هاي كـشوري ماننـد 1:2000 و 1:500 و ساير مقياس ها) در اختيار داشت و هم يك نقشهء Local UTM كاربردي براي عمليات اجرائي.

در نرم افزار LGO براي توليد مختصات Local-UTM، هيچ نقطه اي به عنوان Fix در نظر گرفته نمي شود و ScaleFactor متوسط منطقه لحاظ مي شود. به عبارت ساده تر مختصات Grid-UTM بنحوي تغيير مي كند كه طولها با طول روي سطح زمين با تقريب خوبي يكسان شوند.
تبدیل UTM به LOCAL UTM در نرم افزار LGO7
1-ابتدا نقاط را وارد برنامه LGO کرده و پرسس ابتدایی و سرشکنی را انجام می دهیم


2- بعد از انجام پرسس و سرشکنی نقطه ایی را که به عنوان مبنا قرار داده ایم را به حالت Adjusted قرار داده و روی وسط ترین ایستگاه که ما اینجا KH2 را مدنظر ررار دادیم کلیک راست می کنیم و گزینه Compute Ave,Compute Factor را انتخاب می کنیم ، بعد از انتخاب پنجره ای به همین نام طبق شکل برای شما باز می شود پنجره را بدون اینکه تغییراتی در آن اعمال و OK میکنیم.

*-یادآوری :حتما این عملیات باید در قسمت VIEW/EDIT انجام گیرد.
3- بعد از این کار ، وارد قسمت POINT شده و در قسمت Coordinate Format گزینه های Local و Grid را انتخاب می کنیم بعد از انتخاب مشاهده می کنیم کاه دو ردیف به Modified Northing و Modified Easting اضافه می شود . بایستی شما ابتدا Easting را از ModifiedEasting و Northing را از Modified Northing کم کرده و در جایی یادداش می کنیم تا به مرحله بعد برویم.

4- بعد این کار دوباره به قسمت VIEW/EDIT رفته و روی ایستگاه KH2 کلیک راست کرده و دوباره گزینه Compute Ave,Compute Factor را انتخاب میکنیم ، بعد در پنجره باز شده و در قسمت Apply average combined factor مقادیر به دست آمده با رعایت – و + در جدول قرار داده و OK می کنیم.
5-و در آخر دوباره به قسمت Point رفته و مقادیری که در Modified Northing و Modified Easting می باشد را با مقادیر Northing و Easting در ایستگاه KH2 مقایسه می کنیم که باید یا صفر یا در حد چند میلیمتر باشد.
* – یاد آوری : جهت اطمینان بیشتر چند طول را به وسیله دوربین جهت چک از قبل قرائت کنید و با طول های به دست آمده توسط نرم افزار مقایسه کنید.
سیستم تصویر استوانه اي Cylindrical PROJECTION
بسته به این که استوانه بر مدارات یا نصف النهارها مماس گردد دو نوع سیستم تصویرمرکاتور و مرکاتور معکوس خواهیم داشت اما این نوع سیستم تصویر باز داراي اعوجاجات زیادي خواهد بود و تنها در محل هاي تماس یا تقاطع کاربرد خواهد داشت، از این رو براي تعریف یک سیستم تصویر جهانی و در عین حال داراي کمترین اعوجاجات سیستم تصویري ابداع گردید به نام مرکاتور معکوس جهانی.
ازآنجا که موضوع سیستم هاي تصویر و روابط ریاضی آن پیچیده و خارج از درس مبانی کارتوگرافی است، لذا تنها به معرفی کوتاه و ذکر ویژگی هاي اساسی سه سیستم تصویرمتشابه استوانه اي می پردازیم.

سیستم تصویر مرکاتور
یک استوانه را طوري بر بیضوي محاط می کنیم که محور استوانه و محور زمین بر هم منطبق باشند و استوانه در طول استوا به بیضوي مماس باشد.

ویژگیهاي سیستم تصویر مرکاتور
- تصویر نصف النهارها باهم موازي اند.
- تصویر نصف النهارها و مدارات بر هم عمود هستند
- فواصل بین تصویر نصف النهارها مساوي است
- فواصل بین مدارات با دور شدن از استوا افزایش می یابد. در نتیجه این سیستم تصویربراي مناطق قطبی مناسب نیست
- ضریب مقیاس در طول خط استوا برابر 1 است.
سیستم تصویر مرکاتور معکوس (TM)
این سیستم تصویر مشابه مرکاتور است با این تفاوت که به جاي آنکه استوانه در طول خط استوا بر کره مماس شود در طول نصف النهار مبدأ بر آن مماس می شود.

ویژگیهاي سیستم تصویر مرکاتور معکوس
- تصویر مدارات و نصف النهارها بر هم عمود است.
- ضریب مقیاس در طول نصف النهار مبدأ یک است.
سیستم تصویر مرکاتور معکوس جهانی (U.T.M)
نوع خاصی از سیستم تصویر مرکاتور معکوس است که در آن استوانه با نصف النهار مرکزي منطق هاي که از آن نقشه تهیه میگردد مماس میشود.
تعریفZone :
در سیستم تصویرUTM دور استوایی زمین را به 60 قاچ 6 درج هاي تقسیم میکنند، هر قاچ یکZone نامیده میشود.

ویژگیهاي سیستم تصویر UTM
هرZone به صورت جداگانه تصویر می شود و با شماره آن مشخص میگردد. شماره گذاري قاچ ها از 1 براي نصف النهار 180 درجه غربی تا 174 درجه غربی شروع وبه 60 براي نصف النهار 174 درجه شرقی تا 180 درجه شرقی ختم مگردد.

ضریب مقیاس در نصف النهار مرکزي 0.9996 است.

هر قاچ یا هر زون با زون جانبی خود در حدود یک کیلومتر هم پوشانی دارد،بیشترین ضریب مقیاس در ابتدا در انتهاي قاچ رخ می دهد و مقدار آن برابر با 006/1 می باشد.

– نصف النهار مرکزي هر قاچ مبدأ مختصات طولی و استوا مبدأ مختصات عرضی است.
– مبدأ مختصات در هر قاچ محل تقاطع نصف النهار مرکزي آن قاچ و خط استوا میباشد. براي اجتناب از مختصات منفی مختصات این نقطه براي
نیم کره شمالی (000/500) و براي نیم کره جنوبی (10.000.000 و 500.000) در نظر گرفته می شود.
این سیستم تصویر تا عرض 80 درجه شمالی و 84 درجه جنوبی کاربرد دارد و براي عرض هاي بالاتر و پایین تر، از سیستم تصویرهاي دیگر استفاده می شود.

نقشه زون هاي UTM
سیستم تصویرU.T.M به عنوان سیستم تصویر بین المللی انتخاب شده است. ایران در 4 زون 38، 39، 40 و 41 گسترده شده است. شهر مشهد نیز در زون 40 قرار دارد.

سیستم تصویرU.T.M در ایران
بر اساس شکل زیر نواحی ایران به 1200 منطقه در سیستم UTM تقسیم بندي می شود هر منطقه با یک عدد براي طول جغرافیایی و یک حرف براي عرض جغرافیایی نشان داده می شود.

بدست آوردن شماره Zone :
براي به دست آوردن شماره هر قاچ با توجه به طول جغرافیایی آن از رابطه زیر استفاده می گردد:
مثال: مطلوب است شماره قاچ منطقه اي که در طول جغرافیایی 52 درجه و 22 دقیقه و 11 ثانیه قرار دارد.

بدست آوردن نصف النهار مرکزي هر قاچ
براي به دست آوردن نصف النهار مرکزي هر قاچ می توان از رابطه زیر استفاده نمود:
![]()
مثال: مطلوب است طول جغرافیایی نصف النهار مرکزي منطقه اي که در طول جغرافیایی52 درجه و 22 دقیقه و 11 ثانیه قرار دارد.

بررسی ضریب مقیاس در سیستم تصویرهاي مختلف
نکته: چنانچه در سیستم تصویر استوانه اي طول نصف النهارها یا سطح استوانه مماس باشد،اصطلاحاً به این سیستم تصویر استوانه اي جانبی گفته می شود و چنانچه مدار سطح استوانه با مدار استوا مماس باشد سیستم تصویر در حالت معمولی می باشد.
در مورد سیستم تصویر سمتی یا آزیموتی چنانچه صفحه در نقطه اي در استوا با کره مماس گردد به آن حالت استوایی گفته می شود و چنانچه با قطب مماس باشد به آن حالت قطبی وچنانچه در نقطه دیگر مماس باشد به آن حالت مایل گفته می شود .
همچنین اگر صفحه کره را قطع کند به آن حالت متقاطع گفته می شود، در مورد سیستم تصویر استوانه اي نیز چنانچه استوانه با مدارات یا نصف النهارها مماس نباشد به آن حالت مایل گفته می شود و همچنین درمورد سیستم تصویر مخروطی چنانچه مخروط سطح کره را قطع کند به آن حالت متقاطع گفته می شود.
نکته قابل ذکر این است که ضریب مقیاس در محل مماس (تماس) یا تقاطع سطح قابل گسترش با کره یک می باشد، به عبارتی در این مکان ها تغییر مقیاس رخ نمی دهد.

دیاگرام اعوجاج (Tissot)
مهمترین ویژگی هاي یک سیستم تصویر UTM اندازه اعوجاج و اثر آن اعوجاج بر استفاده از نقشه هستند. کمک به ارزیابی این جنبه ها میتواند از طریق مقایسه شکل هاي آشناي جزایر و خطوط ساحلی انجام شود.
مقایسه دقیق تر می تواند از طریق استفاده از شاخص هاي تیسوت براي طول و عرض جغرافیایی بجز قطبها انجام شود.
شاخص تیسوت که بوسیله کارتوگراف فرانسوي نیکلاس آگوسته تیسوت در قرن نوزدهم میلادي ابداع گردید، شکل دایره اي ب ینهایت کوچک برروي زمین را نشان می دهد بصورتی که هنگام ترسیم با استفاده ازیک مقیاس متناهی ثابت در همان مکانها بر روي نقشه ظاهر می شوند.
هر دایره بصورت یک دایره یا یک بیضی یا در بدترین حالت، بصورتیک خط راست ترسیم می گردد.


مثلا براي سیستم تصویر متشابه مرکاتور شاخص هاي تیسوت در شکل زیر نشان داده شده است که همه آنها دایره هستند.

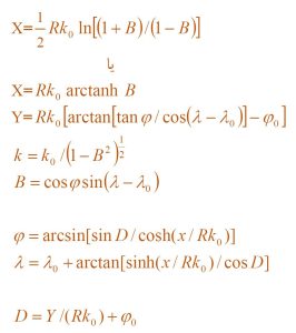
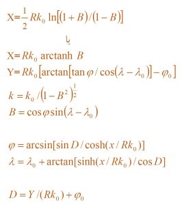
رابطه هاي تبدیل مختصات ژئودتیکی به UTM و بر عکس
براي تبدیل مختصات جغرافیایی دبه دکارتی از معادلات مستقیم و براي تبدیل مختصات دکارتی به جغرافیایی از معادلات معکوس سیستم تصویر استفاده می شود.
معادلات مستقیم و معکوس سیستم تصویر UTM براي کره در اینجا آورده شدهاست. براي فرم بیضوي از معادلات پیچیده تري استفاده می شود که از موضوع مقاله خارج است.

مثال از تبدیل مختصات ژئودتیکی به سیستم مختصات UTM
مثال: چنانچه سطح مبناي سیستم تصویرUTM در دایره اي به شعاع 6400 کیلومتر درنظر بگیریم مطلوب است مختصات مکان هاي زیر در سیستم مختصات UTM


ویژگی های سیستم مختصات UTM
در این سیستم کره ی زمین به 60 زون یا منطقه یا قاچ تقسیم میشود که هر کدام دارای 6 درجه طول جغرافیایی است و هر زون نیز به چهار کوادرانت )چارک (تقسیم میشود . محدوده ی شمالی و جنوبی این سیستم عرض های جغرافیایی 80 درجه ی شمالی و در محدوده ی جنوبی 80 درجه ی جنوبی را در بر میگیرد.
محور های این سیستم مختصات UTM را Easting محور ایکس و Northing محور ایگرگ هستند که بر روی مقادیر قراردادی بنا شده اند. در نیم کره ی شمالی خط استوا با نورثینگ صفر شروع میشود و در 84 درجه ی شمالی به 9334080 مترنورث ختم میشود )فاصله از استوا( برای سهولت در نیم کره ی جنوبی این مقدار به حای صفر از10000000 دارد ودر 80 درجه جنوبی به 1110400 متر نورث ختم می شود.
مبدا ایستینگ نصف النهار گرینویچ است و دارای ایستینگ 500000 است بهسمت شرق زمین این مقدار افزایش و به طرف غرب زمین این مقدار کاهشمی یابد ؛ ایستینگ به سمت شرق به مقدار 833360 متر ایستینگ و در غرببه مقدار 166640 متر ایستینگ ختم پیدا می کند.
هر یک از نوارهای 60 گانه را با یک رقم خاص مشخص میکنند به طوری که نوار مخصوص بین طول جغرافیایی 180درجه شرقی تا 174 درجه شرقی عدد یک را بهخود اختصاص می دهد .این اعداد نیز به طرف شرق افزایش میابد.
هر قاچ (زون) دارای خط مرکزی به نام نصف النهار مرکزی است در نتیجه 60 نصف النهار خواهیم داشت. در این سیستم نصف النهار گرینویچ به عنوان نصف النهار مرکزی تعریف شده و در هر طرف آن 30 قاچ قرار گرفته و نحوه شمارش قاچ ها از غرب بهشرق است و نصف النهار گرینویچ در زون 30ام واقع شده است. هر نصف النهارمرکزی دارای ضریب مقیاس( اسکیل فاکتور) 0.9996 است و تغیرات مقیاس در سرتاسر نوار سرشکن می شود.
برای عرض جغرافیایی از حروف انگلیسی C تا X برای نام گذاری هر 8 درجه عرض جغرافیایی به کار می رود . همچنین A,B برای قطب جنوب و Y,Z برای قطب شمالبه کار میرود . در این میان برای جلوگیری اشتباه خواندن حروف I,O با اعداد 1 و 0این دو حرف وجود ندارد.
شماره گذاری مختصات ها به صورت متر است که از استاندارد زیر پیروی میکند:



لازم به ذکر است نقشه های توپوگرافی 1/50000 و 1/250000 ایران با این سیستم ترسیم شده اند. این سیستم بسیار دقیق بوده و در کارهای نظامی نیزمورد استفاده قرار می گیرد و چون تقسیم بندی هر طول و عرض در این سیستم برحسب متر است، محاسبات شبکه مختصات در آن بسیار ساده و سریع انجام می شود.
تعریف سیستم مختصات UTM بر روی نقشه
یک سیستم GPS، عدد زیر را برای شما نمایش می دهد:
10 S 559741 4282182
مختصات فوق به صورت زیر در یک نقشه توپوگرافیک تعریف می شود:
Zone 10 S 559741 mE. 4282182 mN
باید توجه داشت که اول موقعیت شرقی نمایش داده می شود و در ادامه موقعیت شمالی.
ضریب مقیاس در سیستم مختصات UTM نقشه چیست؟
ضریب مقیاس: به مفهوم نسبت طولها بر روی نقشه به همان طول بر روییبضوی می باشد. بنابر این برای تبدیل طولهای روی بیضوی بر روی نقشه میتوان از این ضریب مقیاس استفاده نمود و طولها را در این ضریب ضرب کرد. برای تبدیل طولهای روی نقشه بر روی بیضوی بالعکس باید طولها را بر این ضریب تقسیم کرد .
سیستم تصویر UTM حاصل تصویر کردن نقاط بیضوی مبنا بر روی استوانه می باشد. چون امکان اینکه استوانه کاملا بر روی کره منطبق شود وجود ندارد بنابراین تنها در خطوط برخورد استوانه و بیضوی اندازه عوارض روی بیضوی کاملا با اندازه روی استوانه برابر است و در سایر نقاط یک ضریب به عنوان ضریب مقیاس لازم است تا اندازه روی بیضوی با اندازه روی استوانه(روی نقشه ) برابری نماید.
بنابراین ضریب مقیاس نسبت طولها بر روی سیستم مختصات UTM به همان طول بر روی بیضوی می باشد. ضریب مقیاس در نصف النهار مرکزی عدد 0.9996 و در خطوط برخورد استوانه و بیضوی عدد یک و در شرقی ترین و یاغربی ترین نقاط زون می باشد.
وضعیت ایران در سیستم مختصات UTM
ایران در این سیستم مختصاتی در زونهای 38و 39و40 و41 قرار دارد .
بطور کلی شماره زون UTM از فرمول زیر بدست می آید :
zone=Round(landa/6)+31
طول جغرافیایی تقسیم بر عدد 6 سپس حذف قسمت اعشاری بعلاوه عدد 31
جهان در سیستم مختصات UTM
برای مشاهده ی همه جانبه ی یک سطح وسیع که ابعاد آن از وسعت میدان دید ما بزرگتر است باید از سیستم مختصات UTM یامدل کوچک شده استفاده کرد. درتبدیل یک سطح گسترش ناپذیر مانند کره ی زمین به سطح مستوی، موقعیت نسبی نقاط وبه تبعیت آن همه ی امتدادها و شکلها تغییر خواهند کرد.
تبدیل سطح کروی بدون پارگیهای زیاد و کشیده شدن و فشرده شدن بخشهایی ازآن ممکن نیست. میتوان باکمک سیستم مختصات، مکان هر نقطه ای بر روی سطح زمین را توسط چند عدد مشخص کرد. مختصات معمولاً طوری انتخاب میشوند که یک عدد مکان عمودی یا ارتفاع نقطه مورد نظر را بیان کند ویک عددهم مکان افقی را مشخص کند.یک انتخاب معمول برای دستگاه مختصات، دارای ارتفاع، طول و عرض جغرافیای است.

عرض جغرافیاییφ زاویه شمالی یا جنوبی هر نقطه از مدارها نسبت به خط استواست . با اتصال نقاط هم عرض به یکدیگر، خطوطی موازی خط استوا (مدارها) بدست م یآید، که در واقع هر کدام یک دایره است که شعاع آن از بیشتریندراستوا تا کمترین در قطبها متفاوت است. عرض جغرافیایی قطب شمال ۹۰ درجه شمالی (°۹۰N )، استوا صفر وقطبجنوب ، ۹۰ درجه جنوبی ( ۹°S ) است.
طول جغرافیای (λ ) زاویه شرقی یا غربی هر نقطه از نصف النهارها نسبت به نصف النهار مبدأ که صفر درج هاست می باشد.این زاویه حداکثر )۱۸۰°( شرقیE) ) یا غربی(W) است. نصف النهارها نیم دایره های از دوایر بزرگ طولی و هماندازه اند که در دو نقطه متقابل در قطب ها به هم میرسند.
موقعیت ها در سیستم اطلاعات جغرافیایی می تواند نسبی یا مطلق باشد. که در موقعیت مطلق موقعیت ها نسبت به کل زمین ثابت هستند و با توجه به یک مبداء یا نقطه صفر سنجیده می شوند.
سیستم تصویر چیست؟
سیستم مختصات UTM تهیه نقشه ،روش های قراردادی برای تبدیل کردن یک سطح کروی به سطح مستوی هستند. کره زمین سه بعدی است ؛ تبدیل آن به کره جغرافیایی در مقیاس های کوچکتر چندان مشکل نخواهد بود.اما زمانی که قرار باشد بخشی از آن را به شکل دو بعدی یا سطح مستوی نمایش دهند مشکلات آغاز می شود.
اولا یک بعد یعنی بعد ارتفاع حذف می شود.که می بایست برای نمایش ارتفاع بر روی نقشه راه حلی پیدا کرد. ثانیا تبدیل کردن یک سطح محدب بر روی یک سطح مسطح سبب تغییراتی در ابعاد ،اندازه ها و اشکال واقعی می شود.از این رو با استفاده از سیستمهای تصویری ؛ خطاهای تصاویر را تعدیل می نمایند.
تعیین سیستم تصویر یکی از ارکان اصلی در تهیه نقشه است. سیستم تصویر نقشه، ترتیب سیستماتیک نصف النهارات و مدارات است که سطح کروی را بریک سطح مستوی نشان میدهد.ازنقطه نظر ریاضی سطح کروی را میتوان برروی سطحی که نوعی پارگی سطح منحی را به نمایش میگذارد ، پیاده نمود . این یک روش محاسباتی برای تبدیل اطلاعات مربوط به زمین سه بعدی به یک نقشه مسطح دو بعدی می باشد.

سیستم های مختصات جغرافیایی کروی :
این سیستم مختصات UTM از یک کره سه بعدی برای تعیین موقعیت یک نقطه استفاده می کند. یک سیستم مختصات جغرافیایی شاملواحد اندازه گیری زاویه (معمولا درجه) یک نصف النهار مبدا معمولا گرینویچ و یک سطح مبنای مسطحاتی می باشد
(Datum ). موقعیت یک عارضه در سطح کره زمین بر اساس درجه طولی و عرضی،که به نام مختصات جغرافیایی Coordinate System GeographicیاGCS شناخته می شوند، قابل اندازه گیری هستند.
در سیستم مختصات کروی، خطوط افقی یا همان شرقی غربی که همان مدارها می باشند نمایانگرعرض جغرافیایی و خطوط عمودی یا همان شمالی جنوبی که همان نصف النهارها می باشند، نمایانگر طول جغرافیایی می باشند مدار میانی بین دو قطب استوا نامیده می شود که مبدأ عرضهای جغرافیایی محسوب می شود. مبدأ طولهای جغرافیایی نیز نصف النهار عبوری از شهرگرینویچ انگلستان می باشد که دربعضی کشورها از نصف النهار برن، بوگوتا و یا پاریس استفاده می شود.

WGS 84 سیستم ژئودتیک جهانی
سیستم ژئودتیک جهانی ، سیستم استانداردی است که در ناوبری از آن استفاده میشود. در این سیستم ازیک مرجع برای مختصات یابی ،یک مرکز جرم برای زمین و یک مدار شبیه به مسیر حرکت زمین در فضا استفاده میشود.
درواقع یک طول و یک عرض جغرافیایی به عنوان مبنا(صفر) در نظر گرفته میشود و بقیه نقاط نسبت به آن طول و عرض سنجیده میشوند. مکان این طول و عرض جغرافیای برای مرجع، کاملا قراردادی است ، یعنی در هر نقطه ای از زمین میتواند در نظر گرفته شود.
در سیستم 84WGS در واقع ازهمان مدار بیضوی به دور زمین استفاده میشود. البته اصطلاحات کوچکی در آن صورت گرفته است تا محاسبات مداری برای ماهواره ها دقیق تر انجام گیرد . ابعاد بیضوی بین المللی 84WGS بوسیله ی ماهواره ها تعیین شده و درسطح جهانی به شکل زمین بسیار نزدیک میباشد.
دراین سیستم محور سوم آن(محور ) از قطب قراردادی زمین (قطب مغناطیسی ) میگذرد ومحهور X آن فصل مشترک صفحه نصف النهار گرینویچ و صفحه ی استوایی است . محور Y هم طوری اختیار میشود که سیستم، دست راستی (روبه راست ) باشد. این سیستم در نقشه برداری و ناوبری مورد استفاده قرار میگیرد.

انواع سیستم های تصویر :
در حال حاضر 3 سیستم تصویری از سایر سیستم ها بیشتر مورد استفاده قرار می گیرد .و نقشه هائی که بر اساس آنها
تهیه می شوند ، معتبر تر هستند .این سیستم ها عبارتند از:
-سیستم مستوی، مخروطی و استوانه ای
-سیستم تصویر مستوی:(Azimuthal)
-یک صفحه را بر کره مماس می کنند

سیستم مختصات UTM
این سیستم از نوع سیستم تصویراستوانه ای میباشد.دراین سیستم زمین به6۰زون تقسیم میشود.که هرکدام شامل6 درجه طول جغرافیایی و از قطب شمال تاقطب جنوب کشیده شده است. منطقه اول از طول۱۸۰ درجه غربی ازخط بین المللی زمان شروع وبه سمت شرق یعنی تا طول۱74درجه غربی ادامه دارد. آخرین منطقه یعنی زون 60 از 174 درجه شرقی شروع وبه خط بین المللی زمان می پیوندد. برای محاسبه زون مربوط به هرمنطقه در این سیستم به صورت ذیل عمل میکنیم:
(6/طول جغرافیایی )-3۰ = برای مناطق غربی
(6/طول جغرافیایی )+3۰ = برای مناطق شرقی
اگرعدد به دست آمده اعشاری باشد به سمت عددی بزرگتر گرد می شود.




4 دیدگاه. ارسال دیدگاه جدید
عالی بود بنده تدریس نقشه خوانی نظامی میکنم خوشحال میشم بتونم با شما در ارتباط باشم از اطلاعاتتون استفاده کنم
درود بر شما. مقاله فوقالعاده عالی و کامل بود.از اطلاعات ارایه شده خیلی استفاده بردم.برقرار و پیروز باشید.
سلامت باشید
بسیار عالی